헤론의 공식_(삼각형 면적 구하기)
2023. 1. 11. 16:06ㆍ수학
728x90
헤론의 공식을 이용하여 2차원 공간에서 3개의 점을 알때 삼각형의 면적 구하기
- 세 변의 길이를 알때 삼각형의 면적 구하기

- ( a, b,c 는 각 변의 길이 )
증명

1. h 값 구하기

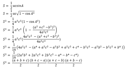
2. 면적 S (1)

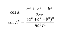
3. sinA 값

4. 제 2 코싸인 법칙

5. 면적 S (2)

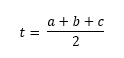
6. 치환

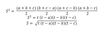
7. 면적 S (3)
